Ted Talk 185: 8 Health Metrics Men Over 40 Can’t Ignore
“You’ve gotta know your numbers. Because what gets measured gets managed.”
This is a common answer when I ask entrepreneurs what the key to business growth is.
And the same is true for your health.
But when I ask high-achievers – many of them in their 40s or 50s – if they know their health metrics, they often say no.
Just like how you would manage a successful business, managing your health should be data-driven. You can’t just make decisions based on gut feelings. You need to track, analyze, and adjust.
Imagine your health as a business bank account.
Every healthy meal you eat, every step you take, and every night of good sleep is a deposit you make. However, chronic stress, lack of exercise, and unhealthy diet – are withdrawals.
The ultimate goal? To keep this account thriving – not just surviving.
And this becomes more important as you get beyond 40 years old.
That’s why I’ve put together a list of the top 8 health metrics you must know.
1. Body Fat Percentage
Forget about your BMI.
The real star of the show is body fat percentage.
Studies have shown that body fat percentage is a much better indicator of overall health and disease risk than BMI. One study published in the American Journal of Clinical Nutrition found that higher body fat percentages were linked to an increased risk of cardiovascular diseases, even among those with normal BMIs.
Track your body fat, not just your weight. This will give you a clear picture of your physical health and how well your workout and diet regimen is working.
Not sure what body fat percentage you should aim for?
Check out this chart from the American Council on Exercise:

If you want to optimize your general health, you should maintain a body fat percentage of 8-to-17%.
We recommend our clients get this measured with either a DEXA scan (dual-energy x-ray absorptiometry) or an InBody (bioelectrical impedance analysis).
To improve this metric, focus on both creating a calorie deficit through diet and lifting weights 2-4 times per week
2. Blood Pressure
You’ve heard it a thousand times, “keep your blood pressure in check.” But do you really know why?
Well, high blood pressure is referred to as a silent killer. It often has no symptoms until you have your first heart attack or stroke. Or a diagnosis of kidney disease.
What’s interesting about blood pressure is that no one argues about its importance. It’s totally non-controversial compared to say cholesterol levels. As a result, it gets talked about less. But it’s one of the most important and easy metrics to track.
The American Heart Association’s research shows that maintaining healthy blood pressure can add years to your life. The target? Check the chart below

A reading below 120/80 mmHg is what you should shoot for.
To keep track, invest in a home blood pressure monitor. If your readings are consistently high, you’ve gotta take action. To improve this metric, lower your body fat into the range we talked about above, prioritize aerobic exercise, and manage your stress better.
3. Blood Sugar Levels
This isn’t just for diabetics. Maintaining healthy blood sugar levels is vital for everyone.
A study published in the New England Journal of Medicine showed that people with higher blood sugar levels, even those without diabetes, had an increased risk of developing dementia.

There are two types of blood sugar tests: fasting blood sugar and hemoglobin A1C.
A fasting blood sugar test measures your blood sugar levels after you’ve been in a “fasted state” (i.e. going without food or calorie-containing drinks) for at least 8 hours.
A hemoglobin A1C test measures your average blood sugar levels over the past 2-to-3 months.
A healthy fasting blood sugar level is below 99 mg/dL, while a healthy hemoglobin A1C level is below 5.7%.
A regular blood test from your doctor (or private lab)can help you track this. To maintain healthy levels, get your body fat down to the healthy ranges mentioned above and live a physically active lifestyle. Limiting ultra-processed foods like cookies, ice cream, and donuts will help too.
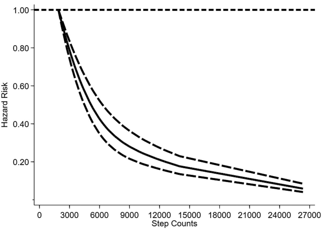
4. Daily Step Count
We’ve all heard the magic number – 10,000 steps a day. But does it really matter?
Yes, it does. A 2022 study published in The Journal of Sports Sciences looked at what’s called the dose-response relationship between daily step count and risk of dying. This is just a fancy way of saying they investigated how the number of steps a person took influenced their risk of death.
What they found was crucial.

As you can see from the graphic above, the more steps the better.
More specifically, 5000 steps per day seemed to be the threshold where your risk of health issues and premature death rises sharply.
This is important because the average adult in the U.S. gets between 3000 to 4000 steps daily.
So how many should you shoot for? Based on the latest research, 7000 steps should be the minimum to shoot for.
What if you want optimal health? Are you can see from the graph, your risk of dying decreases as your step count increases all the way up to 27,000 steps per day.
I don’t know about you but I want to have long-term health but I also want to do the minimum for maximum results.
So somewhere in the neighbourhood of 10,000 to 15,000 is what I’d recommend that you aim for.
Personally, I’ve been averaging about 10,000 steps per day since 2019 when I started tracking them with my Oura ring.
5. Apolipoprotein B (apoB)
Cholesterol levels are important, but if you’re looking for a more sensitive and specific marker for cardiovascular risk, meet apoB. This little compound is a part of many kinds of lipoproteins, including the infamous LDL – the “bad” cholesterol.
Why does apoB matter? Because each atherogenic (plaque-causing) particle contains one molecule of apoB. So, when you measure apoB, you get a direct count of these harmful particles. LDL cholesterol measurements, on the other hand, can sometimes be misleading because they measure the cholesterol inside the particles, not the particles themselves.
A study published in The Lancet concluded that apoB was superior to all other lipid variables, including LDL cholesterol, in predicting the risk of heart disease.

An optimal apoB level is usually considered to be below 90 mg/dL. If you’re at high risk for heart disease, your doctor might want your apoB even lower. The only way to know your apoB is through a blood test.
And how can you improve your apoB levels? Reducing saturated in your diet can help. Instead, focus on monounsaturated and polyunsaturated fats. Regular physical activity and maintaining a healthy weight can also be beneficial.
And there you have it! ApoB—a critical and often overlooked marker of heart health.
6. Sleep Quality
If you’re a high-achiever, sleep is probably the first thing you sacrifice. But here’s why you shouldn’t.
A 2016 study published in the journal Nature found that around 7-8 hours of sleep is the sweet spot – although 6 might be ok.
Avoid sleeping less than 6.

In addition to aiming for 7-8 hours of quality sleep per night, follow good sleep hygiene.
Maintaining regular sleep and wake times, creating a dark and quiet sleep environment, and limiting screen time before bed can all help improve sleep quality.
I highly recommend getting a sleep tracker (I use Oura as I’ve mentioned multiple times) if you have any sleep issues at all.
7. Resting Heart Rate
Your resting heart rate is the number of times your heart beats per minute when you’re at rest.
Research has shown that a higher resting heart rate was associated with a higher risk of mortality from all causes and cardiovascular disease.
A 2009 study in the British Medical Journal found the same thing for women in their 50s and 60s who had a resting heart rate of 76 or higher.
A 2019 study published in the journal Open Heart found that men in their 50s who had a resting heart rate of 75 beats per minute or higher was linked to a doubling in the risk of an early death from all causes.
So what heart rate should you aim for?

60 or lower is a good goal based on a 1997 study from the European Heart Journal.
I use an Oura ring to track my resting heart rate. But wearables like an Apple Watch, Whoop, FitBit, Garmin, etc. will work.
If your resting heart rate is consistently high, it might be a sign that your heart is working too hard even when you’re at rest. You can work on improving your resting heart rate by incorporating regular cardio exercises into your routine and by managing stress through techniques like deep breathing exercises, meditation, regular massages, yoga, etc.
8. Testosterone Levels
Testosterone is a key hormone that plays a significant role not only in male sexual development but also in maintaining muscle mass, bone density, red blood cell production, and emotional health.
Testosterone isn’t just about sex drive and muscle. It’s a critical player in bone density, red blood cells, and mental health.
Research has discovered a strong correlation between low testosterone levels and depression in men.
When we talk about testosterone, it’s important to understand both total and free testosterone levels. Total testosterone includes all forms of the hormone in your body, both bound (mainly to a protein called sex hormone binding globulin, or SHBG) and unbound. Free testosterone, on the other hand, refers to the unbound fraction that is freely available to act on body tissues.
Typically, healthy total testosterone levels range from 300-1000 ng/dL. Free testosterone, which usually constitutes about 2-3% of total testosterone, often falls in the range of 9-30 pg/mL.
| Total Testosterone (ng/dL) | Free Testosterone (pg/mL) | |
|---|---|---|
| Low | Less than 300 | Less than 9 |
| Normal | 300 – 1000 | 9 – 30 |
| High | More than 1000 | More than 30 |
Keep in mind that testosterone levels can vary significantly from person to person and can fluctuate throughout the day. And symptoms of low T seem to be more important than your levels. That said, I still think it’s worth testing and monitoring over time.
Lifestyle changes like a balanced diet, regular exercise, sufficient sleep, and stress management can all help optimize your testosterone levels. Although many guys are quick to get TRT, starting with changing your lifestyle needs to come first. Monitoring both total and free testosterone gives a more comprehensive picture of hormonal health.
Keeping your testosterone levels in the optimal range is not just about physical health. It’s a key part of your emotional well-being and overall quality of life.
The Bottom Line
Remember, your greatest wealth is health.
And the key to maintaining your health is to be data-driven and stay on top of these metrics.
Health isn’t a sprint; it’s a marathon. As with any long-term investment, you need a strong strategy and an eye for detail. Be disciplined about making those “deposits” into your health account and cautious about the “withdrawals.”
Getting these metrics will tell you exactly how you’re doing. Make them part of your yearly schedule just like your quarterly reviews.
After all, health is the one investment that guarantees returns – in productivity, longevity, and quality of life.
Keep in mind that the most successful people aren’t just intelligent or lucky. They are, above all, healthy and energetic. They understand that health is the foundation of all wealth, success, and achievement.
Ultimately, your health is a long-term investment, and the dividends? They’re not just years added to your life, but life added to your years.
Related Episodes:
Ted Talk 182: Don’t Give Up On Yourself! A Guide To Thriving in Your Health Journey
Ted Talk 171: The Secret To Staying Healthy As A Busy Entrepreneur
Similar Episodes you may like
About the Show
The Legendary Life is a fun and enlightening look at health fitness, nutrition, biohacking, fat loss, anti-aging, and cutting-edge health advice from celebrity fitness trainer Ted Ryce. Ted’s clientele consists of celebrities, including Richard Branson, Ricky Martin, and Robert Downey Jr., CEOs of multimillion-dollar companies, and other high performers.
He breaks down countless health topics and provides science-backed solutions and the most effective, uncommon strategies to rapidly lose weight, improve your health, and upgrade your physical and mental performance, so you can live the life you deserve.
He breaks it down by providing science-based information so you can clear up the confusion and finally lose weight, fight disease, and live a longer, healthier life.
No guru. No fluff. And no preaching of generic fitness advice here. Along the way, Ted shares his own journey of how he turned great tragedy and loss into success and hope.
Now, his mission is to empower you with the tools and the knowledge you need to live your best life. New episodes every Monday and Friday.